Упр.10.23 ГДЗ Погорелов 7-9 класс (Геометрия)

Решение #1

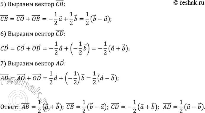
Изображение 23. Дан параллелограмм ABCD, АС = а, DB = b (рис. 234). Выразите векторы АВ, СВ, CD и AD через а и...
Дополнительное изображение

Рассмотрим вариант решения задания из учебника Погорелов 8 класс, Просвещение:
23. Дан параллелограмм ABCD, АС = а, DB = b (рис. 234). Выразите векторы АВ, СВ, CD и AD через а и b.
*Цитирирование задания со ссылкой на учебник производится исключительно в учебных целях для лучшего понимания разбора решения задания.
*размещая тексты в комментариях ниже, вы автоматически соглашаетесь с пользовательским соглашением